15路驿站-有趣,有答案!

15路驿站

当前位置:主页 > 历史秘闻 >

中国最后一位状元刘春霖资料照片,刘春霖的字值多少钱

来源: 摩登先生 作者: 摩登先生 发布时间:2019-05-01 01:42:02
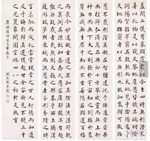
刘春霖是清朝最后一位状元,我国的科举制度自此落下帷幕。刘春霖在书法上有非常高的成就,尤其是小楷,他的蝇头小楷被后辈争相临摹。现在他的书法在收藏市场也非常火热,成为人们收藏的作品。作为中国的最后一位状元,刘春霖到底还为中国做出了什么成就呢?

中国最后一位状元刘春霖资料照片



刘春霖,在诗书画上均有极高的造诣,尤擅小楷,取法晋唐写经,宽博厚重,骨力遒劲,在当时享“楷法冠当世,后学宗之”之誉,至今书法界仍有“大楷学颜(真卿)、小楷学刘(春霖)”之说。大字书法,劲秀清风,名噪一时。



刘春霖(1872—1944),字润琴,号石云。中国晚清直隶省河间府肃宁县人,晚清德宗光绪三十年(公元1904年)甲辰科状元,亦是中国历史上最后一名状元,所谓“第一人中最后人”。刘春霖善书法,尤以小楷为著。小楷笔力清秀刚劲,深得世人推崇。时有“大楷学颜(颜真卿),小楷学刘(刘春霖)”之誉。出版有《大唐三藏圣教序》、《兰亭序》等小楷字帖多部;大字法帖亦有出版。刘春霖的名字已载入香港书谱出版社和广东人民出版社出版的大型辞书《中国书法大辞典》。刘春霖患有心脏病,经受日伪打击后,病情逐渐加重,经多方医治无效,于1944年1月18日逝世于北京(又一说逝世于1942年),其墓地在保定市。



刘春霖的字值多少钱

一般说来,写小字与写大字是大不相同的,其原则上是:写大字要紧密无间,而写小字必要使其宽绰有余。也就是说:写大字要能做到小字似的精密;而写小字要能做到有大字似的局促,故古人所谓“作大字要如小字,而作小字要如大字。”又苏东坡论书有“大字难于结密而无间,小字难于宽绰有余”的精语。刘春霖的书法,正是针对这种神情而发,显得经验老到,从他的这幅对联看出,他处理的重心与笔画配合非常巧妙,运笔圆润、娟秀、挺拔、整齐;而且字迹雄壮、厚重。下笔时用尖锋,收笔时用顿笔或提笔。每一笔都精心处理,笔画生动而有情致;点欲尖而圆,挑欲尖而锐,弯欲内方而外圆,钩半曲半直。运笔灵活多变,整篇字,要笔笔不同,而又协调一致,一行字写出来,错落有致,却又一直在一条线上,行 气自然贯串,如串串珍珠项链,神采飞扬。

下面是小编收集的拍卖记录图片



    责任编辑:摩登先生
    本命佛的佩戴注意事项,怎么查自己的本命佛?

    2019-03-23 01:52:02

    本命佛,是佛教密宗里的一种十分特殊的佛,是千年以来许多人们所供奉的护法善神, ... [详细]

    细数:陪伴着十二星座长大的那些童年零食

    2019-04-06 01:52:05

    每个人的性格和喜好其实刚出生的那一刻就已经决定了,因为星座的特质,每个星座从 ... [详细]

    毕业照站位预示未来,毕业照站位的神解析

    2019-03-28 12:22:01

    又到了一年毕业季,毕业照是每个毕业生离开校园之前必做的一件事,有人在网上分析 ... [详细]

    星座的由来传说揭秘,传说中星座是怎么划分出来的?

    2019-05-01 01:59:00

    历史上关于星座的说法有很多,而且几乎每个星座都有一个不同的传说,这些传说有的 ... [详细]

    本命年虎年要注意什么,五点小问题需要注意

    2022-04-08 14:52:03

    中国民间的传统习俗中,本命年是要穿红内裤、红袜子,扎红腰带的,因为传说人们在 ... [详细]

    最新科技

    历史秘闻

    资讯排行

    首页 - 娱乐有料 - 天下奇闻 - 星座星盘 - 最新科技 - 历史秘闻 - 大千世界 - 手工编织
    电脑版 | 移动端
    Copyright © 2010-2019 15路驿站 版权所有 浙ICP备12019736号-1
    网站邮箱:#######

    返回顶部